通遼鴻圖熱線(微信):15248340040 15114739383 地址:通遼市霍林河大街青島花園東北門鴻圖教育
奈曼鴻圖熱線(微信):15934999729 18504752467 地址:奈曼金園秀水西門三樓門市鴻圖教育
開魯鴻圖熱線(微信):17743120561 地址:開魯縣惠民醫(yī)院對面
霍林河鴻圖熱線(微信):15114739383
關(guān)注公眾號了解更多
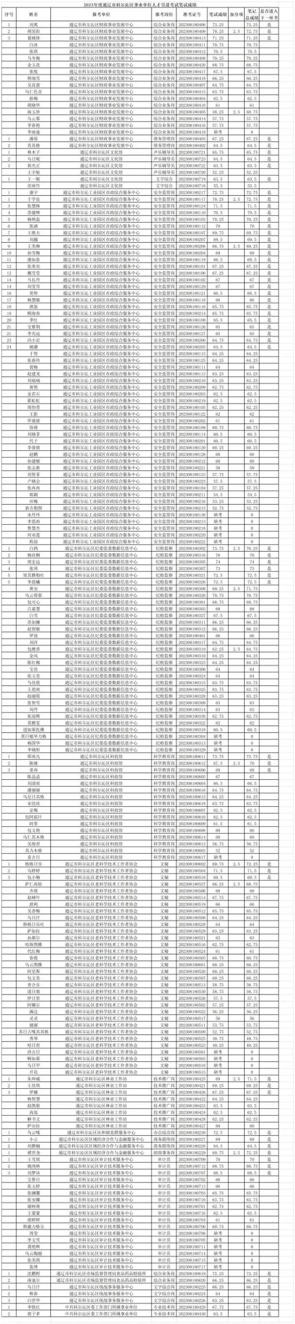
2023年度通遼市科爾沁區(qū)事業(yè)單位人才引進考試筆試成績

資格復(fù)審和面試相關(guān)事宜詳見《關(guān)于2023年度通遼市科爾沁區(qū)事業(yè)單位人才引進考試公告》
蒙公網(wǎng)安備 15050202000764號